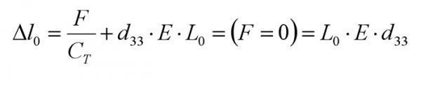
在无预紧力及恒定负载条件下,F=衡量
压电陶瓷在恒力或者恒定质量下,陶瓷被压缩量的公式如下:

(1.1)
变化位移ΔL0的计算公式和无外力时是一样的,见公式1.2。

(1.2)
如果施加的外力F的值过大,在没有外加电压的情况下,压电陶瓷可能会发生退极化现象,这个影响主要取决于压电陶瓷材料,我们可以通过施加电场的方式来对陶瓷重新极化,但施加外力F超过了陶瓷材料的限定值,陶瓷将不能被重新极化,还可能损坏内部的陶瓷薄片。因此,施加的外力不要超过陶瓷材料的临界值。下图为陶瓷在受到恒力的条件下,位移和电压的关系。

图1.1 在恒定负载条件下位移和电压曲线
负载为恒力时,压电陶瓷将被压缩,压缩量取决于陶瓷的刚度及负载力的大小,施加标称电压,压电陶瓷在被压缩后的基础上伸长标称位移。
在无预载力低刚度负载条件下
ΔL≈ΔL0(kL/kA+kL)
ΔL:位移 ΔL0:标称位移
kL:负载的刚度 kA:压电陶瓷刚度

图1.2 无预载力低刚度负载条件下位移与电压曲线
受到变力时,压电陶瓷的位移会有一定的损失,具体损失大小取决于外部弹簧的刚度。
在无预载力大刚度负载条件下
Feff≈Fmax(kL/kA+kL)
Feff:有效出力 Fmax:最大出力
kL:负载的刚度 kA:压电陶瓷刚度
要产生更大的出力时,负载的刚度要大于陶瓷的刚度。

图1.3 无预载力大刚度负载条件下位移与电压曲线
有预载力低刚度条件下
另外,在有预载力的、低刚度负载的条件下,由于预紧力会像重物压陶瓷一样致使陶瓷被压缩一定位移,且由于负载一定刚度的结构会使陶瓷损失部分位移。因此负载的刚度一定要比陶瓷的刚度小一个数量级。

图1.4 有预载力低刚度负载条件下位移和电压曲线
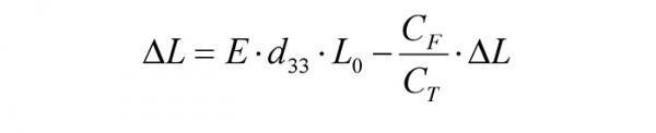
变化的外部负载和力,F = f(ΔL)
我们通过使用外加弹簧来产生变化的外力。因为弹簧的特性,外力随着陶瓷的位移的增加而增加。如果外力能被表示成:F =-CFΔL(CF为弹簧刚度)我们能得到下面的致动器位移公式:

(1.3)
例如:给出的位移与没有外力时的位移关系:

(1.4)
一部分位移用于克服外力,因此最终的位移将变小。如果致动器的刚度和外部弹簧的刚度相等时,致动器仅将达到其正常位移的一半。
例:一个压电陶瓷的刚度是CT=65N/μm。其位移ΔL0在没有外力时为16μm。将这个陶瓷组装在外部机构中以后,预载的刚度CF=0.1CT。对比式(1.4)该位移将减少为14.5μm。如果预载的刚度增加至致动器刚度的70%,CF=0.7CT,CT=46N/μm,此时位移仅仅达到ΔL=9.4μm。
用公式(1.4),我们可以计算出有效力-陶瓷克服外部弹簧

(1.5)
?L0-没有外部负载的位移;ΔL-有外部负载的位移。
例:一个压电致动器。在没有外部负载时的位移为ΔL0,刚度为CT=65N/μm。外部弹簧的CF=64N/μm。在这种情况下致动器的有效力为431N。当它外部的弹簧刚度50N/μm,有效力为F =379N。
变力作用到陶瓷上会造成整体位移的损失。压电致动器预载力是外力。预载力的值通常为致动器最大负载的1/10。这样陶瓷的位移损失比较小。而且有预载力的致动器可以工作在一定拉力条件下,比较适合动态条件下使用。
出力,ΔL=0
如果这个陶瓷致动器位于两墙之间(无穷大刚度)。那么陶瓷将不会产生位移(见公式1.2)。在这种情况下,致动器产生最大出力为Fmax 这个力称之为出力。
计算公式如下:

(1.6)
在实际情况下,无限刚度的墙壁加持压电致动器是不现实的。出于这个原因致动器不会在现实中达到其理论上的最大出力。另外,如果执行器产生了最大出力,那么它将不会产生位移。
本文地址: https://www.xsyiq.com/2011.html
网站内容如侵犯了您的权益,请联系我们删除。